Utilizare :
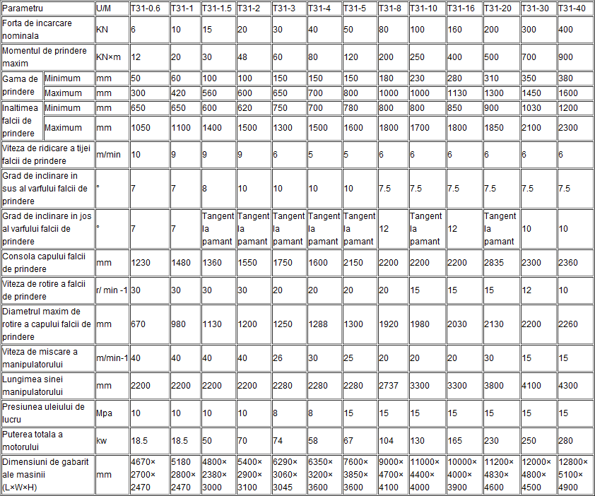
Aceasta serie de manipulatoare de forjare are tipuri de actionare combinata a presei hidralice si a presei hidraulice-mecanice. Manipulatorul are ca functii: deplasarea manipulatorului, strangerea falcii de prindere, rotirea capului falcii de prindere, ridicarea urechii falcii de prindere, inclinarea urechii falcii de prindere, revenirea urechii falcii de prindere etc. Este utilizat pentru prinderea (fixarea) piesei forjate sau a semifabricatului pe ciocanul de forjat, in scopul realizarii procesului de forjare si pentru a reduce intensitatea efortului fizic al muncitorilor, realizand astfel o mecanizare efectiva a procesului de fabricatie a pieselor forjate.
